- Статьи
- Наука и техника
- Боевой подсчет: математическая модель предскажет сценарий развития военного конфликта
Боевой подсчет: математическая модель предскажет сценарий развития военного конфликта
Математик из МФТИ разработал модель прогнозирования динамики современных вооруженных конфликтов, которая впервые учитывает ряд параметров, связанных с перемещением войск. Она расширяет классические законы Ланчестера, традиционно применяемые для оценки развития событий на поле боя. Кроме того, инструмент позволяет выявлять потенциальные очаги горячих точек. При этом специалисты отмечают, что результаты моделирования часто не совпадают с реальной ситуацией и на это влияет множество факторов. Подробнее — в материале «Известий».
Модель как инструмент военного анализа
Математик из МФТИ усовершенствовал модель для описания динамики современных вооруженных конфликтов, которая впервые учитывает нелинейную зависимость передвижения войск от их собственной концентрации и плотности сил противника. Как пояснили «Известиям» в пресс-службе вуза, еще в начале XX века Фредерик Ланчестер вывел уравнения, описывающие потери в бою, и математика стала неотъемлемым инструментом военного анализа. Простые формулы английского инженера, связывающие численность сторон и их боевую эффективность, легли в основу теории исследования операций.
Однако классические модели Ланчестера имеют существенный недостаток: они рассматривают армии как однородные массы, не учитывая их расположение и передвижение на поле боя, отмечают в институте. В современных конфликтах, где решающую роль играют мобильность, концентрация сил на ключевых направлениях и умение избегать окружения, такой подход оказывается недостаточным. Поле боя представляет собой динамичную среду, в которой плотность войск постоянно изменяется, влияя на их маневренность и огневую эффективность.

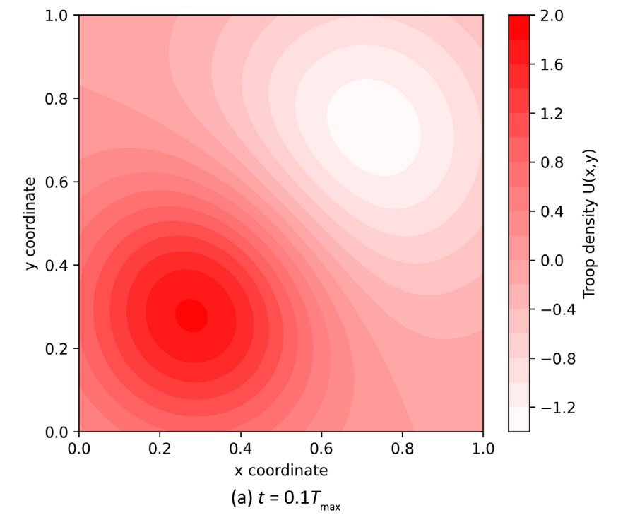
Чтобы преодолеть эти ограничения, аспирант кафедры анализа систем и решений МФТИ Никита Борисов предложил новый подход. Он представил поле боя как двумерное пространство, в каждой точке которого плотность сил двух противоборствующих сторон описывается системой уравнений реакции-диффузии. В этой системе помимо классических членов уравнения, описывающих потери в бою (реакция), присутствуют и диффузионные члены, отвечающие за передвижение войск. Ключевое нововведение состоит в том, что коэффициент диффузии, то есть «подвижность» войск, не является постоянной величиной. Он нелинейно зависит от концентрации как своих, так и вражеских сил.
Такой подход позволяет моделировать реалистичные тактические сценарии: например, высокая концентрация своих сил может облегчать логистику и увеличивать мобильность («эффект блицкрига»), в то время как присутствие противника, наоборот, сковывает передвижение («эффект сковывания»).
— Меня как ученого интересовала проблема создания математического инструмента, который говорит на языке тактики, — рассказал Никита Борисов. — Вместо абстрактных чисел модель оперирует понятиями концентрации сил, мобильности, логистической поддержки и зон воспрещения доступа. Наша разработка показывает, как эти факторы взаимодействуют в пространстве и времени, приводя к самоорганизации на поле боя — формированию фронтов, направленных ударов, прорывов и окружений. Это шаг от простой «бухгалтерии потерь» к полноценному динамическому моделированию боевых действий.

По словам ученых, предложенная модель отличается высокой гибкостью: изменяя параметры, можно имитировать различные тактические сценарии. Результаты исследования применимы для математического моделирования в военной стратегии и тактике. Инструмент позволяет оценивать эффективность распределения сил, анализировать различные боевые ситуации, тестировать новые виды вооружения и планировать логистические операции.
В будущем автор планирует усовершенствовать модель, добавив в нее трехмерное пространство для учета авиации и рельефа местности, адаптивные шаги по времени, что еще больше повысит ее реалистичность и прогностическую силу. Также на основе предложенной системы ученые планируют разработать ПО.
Почему математические модели могут ошибаться
Разрабатываемая модель — это обобщение классических уравнений Ланчестера, которую использовали еще для воздушных сражений периода Первой мировой войны. В отечественной прикладной науке эти уравнения известны еще как модель Ланчестера — Осипова (Михаил Осипов — генерал императорской армии Российской империи), рассказал «Известиям» доцент факультета ВМК МГУ им. М.В. Ломоносова Владимир Нефедов.
— Эта тематика представляет значительный и постоянный интерес. С учетом совершенствования ИИ, компьютерных технологий, например возможности использования суперкомпьютеров при математическом анализе, и т.д. подобное моделирование может и должно получить мощный импульс развития, — сказал ученый.

Есть и альтернативные подходы, применяемые для оценки боевых действий, подобные исследования ведутся активно и в России, и за рубежом, в том числе в США, рассказал ученый.
Похвально, что российские ученые уровня МФТИ занимаются настолько важными задачами, как разработка математических моделей по пространственному взаимодействию воюющих между собой групп. Автор, отталкиваясь от базиса, добавил пространственную составляющую, связанную с концентрацией войск, рассказал «Известиям» главный конструктор ЦКБР Дмитрий Кузякин.
— Для описания этого математического аппарата необязательно было использовать именно военную тематику. Можно было рассматривать, например, взаимодействие границ двух динамически активных сред. Тем не менее автор выбрал вооруженные конфликты, — отметил эксперт. — К самой статье претензий нет: она полностью научная. Однако ценность математических систем определяется их полезностью и применимостью. Существуют, например, предсказательные модели, на основе которых оценивают вероятность оттока клиентов, колебания акций, поведение конкурентов на рынке и другие процессы.
Эксперт отмечает, что математический аппарат во всех случаях научно корректен, но на практике не всегда работает. Любые модели или их комбинации не способны дать статистически значимого результата, уверен специалист. Причины разные: первая — влияние самой модели на формирующуюся реальность; вторая — появление неожиданных факторов, так называемых «черных лебедей», например FPV-дронов на поле боя.

— Академическая ценность предложенного решения в том, что оно не противоречиво и математически чисто. Практическая — требует проверки, — подвел итог Дмитрий Кузякин.
Результаты исследования опубликованы в Journal of Applied Mathematics and Physics.